假设以10%的年利率借得30000元,投资于某个寿命为10年的项目。为使该投资项目成为有利的项目,每年至少应收回的现金数额为()。A:6000 B:30...

作者: tihaiku 人气: - 评论: 0
问题 假设以10%的年利率借得30000元,投资于某个寿命为10年的项目。为使该投资项目成为有利的项目,每年至少应收回的现金数额为()。
选项 A:6000 B:3000 C:5374 D:4882
答案 D
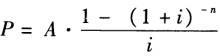
解析 已知年金的现值公式:,又P=30000元,n=10,i=10%,则:

相关内容:年利率,30000元,投资,于某个,寿命,项目,投资项目,有利,现金,数额

猜你喜欢

发表评论
更多 网友评论0 条评论)
暂无评论

访问排行

Copyright © 2012-2014 恰考网 Inc. 保留所有权利。 Powered by tikuer.com

页面耗时0.0280秒, 内存占用1.04 MB, Cache:redis,访问数据库18次