共用题干 某企业生产甲、乙、丙、丁四种产品,各种产品在车床组的台时定额分别为85台时,60台时,40台时,110台时;车床组共有车床20台,一年的有效工...

作者: tihaiku 人气: - 评论: 0
问题 共用题干 某企业生产甲、乙、丙、丁四种产品,各种产品在车床组的台时定额分别为85台时,60台时,40台时,110台时;车床组共有车床20台,一年的有效工作时间为2800小时;计划甲、乙、丙、丁四种产品年产量为300台、170台、120台、135台。根据以上资料,回答下列问题:
选项 如果该企业采用代表产品法计算生产能力,这四种产品中的代表产品是()。 A:甲 B:乙 C:丙 D:丁
答案 A
解析 在4种产品中,甲的年产量最高,所以以它为代表产品。
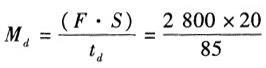
由上一题可知,选定的代表产品为甲,则Md==659(台)。式中,F表示单位设备有效工作时间;S表示设备产量;td表示产品的时间定额。
生产能力按其技术组织条件的不同可分为设计生产能力、查定生产能力、计划生产能力。
年度生产计划是以计划期现实的市场状况和充分利用现有生产能力为依据制定的企业的生产纲领,是考核企业生产水平和经营状况的主要依据。
产品产量指标是指企业在一定时期内生产的、并符合产品质量要求的实物数量。确定产品产量指标主要采取盈亏平衡分析法、线性规划法等。选项A.B是生产作业计划编制的主要方法。

相关内容:题干,企业,生产,丁四种,产品,车床,台时,定额,85台时,60台时,40台时,110台时,共有

猜你喜欢

发表评论
更多 网友评论0 条评论)
暂无评论

访问排行

Copyright © 2012-2014 恰考网 Inc. 保留所有权利。 Powered by tikuer.com

页面耗时0.0275秒, 内存占用1.04 MB, Cache:redis,访问数据库16次