投资方案贴现率为15%,净现值为-6.23,贴现率为10%,净现值为3.25,则该方案的内部报酬率为(  )。A.4.55% B.10.O8% C.1...

作者: tihaiku 人气: - 评论: 0
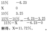
问题 投资方案贴现率为15%,净现值为-6.23,贴现率为10%,净现值为3.25,则该方案的内部报酬率为(  )。
选项 A.4.55% B.10.O8% C.11.72% D.18.28%
答案 C
解析 本题考查内部报酬率的计算。内含报酬率就是使投资项目的净现值为零的贴现率。利用插值法求内部报酬率,设内部报酬率为X,根据题意可列式:

相关内容:投资,方案,贴现率,现值,报酬率,A.4.55%,B.10.O8%,C.1...

猜你喜欢

发表评论
更多 网友评论0 条评论)
暂无评论

访问排行

Copyright © 2012-2014 恰考网 Inc. 保留所有权利。 Powered by tikuer.com

页面耗时0.0334秒, 内存占用1.04 MB, Cache:redis,访问数据库19次