某企业2016年度发行债券融资。每张债券面值100元,票面利率8%,期限5年,发行200万张,筹资总额2亿元。约定每年付息一次,到期一次性还本。假设筹资费...

作者: tihaiku 人气: - 评论: 0
问题 某企业2016年度发行债券融资。每张债券面值100元,票面利率8%,期限5年,发行200万张,筹资总额2亿元。约定每年付息一次,到期一次性还本。假设筹资费用率为1.5%,企业所得税率为25%,则该债券的资本成本率是( )。
选项 A.5.78% B.5.85% C.5.94% D.6.09%
答案 D
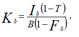
解析 在不考虑货币时间价值时,债券资本成本率可按下列公式计算:

,式中:Kb常为债券资本成本率;B为债券筹资额,按发行价格确定;Fb为债券筹资费用; 为债券每年支付的利息。本题中,该债券的资本成本率=100×8%×(1-25%)÷[200000000÷2000000×(1-1.5%)]≈6.09%。

相关内容:企业,年度,债券,融资,面值,100元,票面,利率,期限,200万张,总额,2亿元,约定,到期,假设,资费

猜你喜欢

发表评论
更多 网友评论0 条评论)
暂无评论

访问排行

Copyright © 2012-2014 恰考网 Inc. 保留所有权利。 Powered by tikuer.com

页面耗时0.0295秒, 内存占用1.05 MB, Cache:redis,访问数据库20次