根据股利折现模型,影响普通股资本成本率的因素有( )。A.股票发行价格 B.股票发行费用 C.股利水平 D.普通股股数 E.企业所得税率

作者: tihaiku 人气: - 评论: 0
问题 根据股利折现模型,影响普通股资本成本率的因素有( )。
选项 A.股票发行价格 B.股票发行费用 C.股利水平 D.普通股股数 E.企业所得税率
答案 ABC
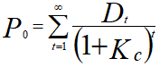
解析 股利折现模型的公式为:

。其中,

为普通股融资净额,即发行价格扣除发行费用;

为普通股第t年的股利;

为普通股投资必要报酬率,即普通股资本成本率。

相关内容:根据,股利,模型,影响,普通股,资本,成本率,股票,价格,费用,水平,股数,企业,所得税率

猜你喜欢

发表评论
更多 网友评论0 条评论)
暂无评论

访问排行

Copyright © 2012-2014 恰考网 Inc. 保留所有权利。 Powered by tikuer.com

页面耗时0.0240秒, 内存占用1.05 MB, Cache:redis,访问数据库19次