(五) A企业将其商标、生产技术以及经营管理方式等全盘转让给B企业使用,B企业向A企业每年支付200万元。为提高生产效率,A企业拟向一家科技公司购买一项...

作者: tihaiku 人气: - 评论: 0
问题 (五) A企业将其商标、生产技术以及经营管理方式等全盘转让给B企业使用,B企业向A企业每年支付200万元。为提高生产效率,A企业拟向一家科技公司购买一项新的生产技术。经预测,该技术可以再使用4年。采用该项新技术后,A企业产品价格比同类产品每件可提高20元,预计未来4年产品的销量分别为8万件、8万件、7万件、7万件。根据行业投资收益率,折现率确定为10%,复利现值系数见下表。A企业对该项技术价值评估后,与该科技公司签订了购买合同。

根据效益模型,该项新技术的价格为( )万元。
选项 A.469.68 B.532.41 C.356.18 D.618.22
答案 A
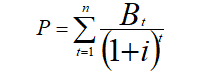
解析 效益模型的基本思路是按技术所产生的经济效益来估算技术的价值。其公式为:

式中,P为技术商品的价格;

为第t年被评估技术所产生的经济效益;i为折现率;n为被评估技术的寿命。本题中,该项新技术的价格=20×(8×0.909+8×0.826+7×0.751+7×0.621)=469.68(万元)。

相关内容:企业,商标,生产技术,经营管理,方式,全盘,支付,200万元,生产效率,一家,科技,公司

猜你喜欢

发表评论
更多 网友评论0 条评论)
暂无评论

访问排行

Copyright © 2012-2014 恰考网 Inc. 保留所有权利。 Powered by tikuer.com

页面耗时0.0265秒, 内存占用1.05 MB, Cache:redis,访问数据库17次