某工厂每年需消耗煤100000吨,每吨煤的价格为1200元,每吨煤的年保管费率为4%,单次订货成本为6000元。假设煤的价格不因采购数量的不同而产生折扣。...

作者: tihaiku 人气: - 评论: 0
问题 某工厂每年需消耗煤100000吨,每吨煤的价格为1200元,每吨煤的年保管费率为4%,单次订货成本为6000元。假设煤的价格不因采购数量的不同而产生折扣。 该工厂采购煤的经济订货批量为( )吨
选项 A.5000 B.6000 C.7000 D.8000
答案 A
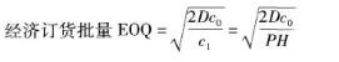
解析 此题考查的是经济订货批量,根据经济订货批量公式 其中D=100000吨/年,P=1200元/吨,H=4%,C0=6000元 代入公式结果为5000吨。

相关内容:工厂,消耗,100000吨,价格,1200元,保管,费率,订货,成本,6000元,假设,采购,数量,折扣

猜你喜欢

发表评论
更多 网友评论0 条评论)
暂无评论

访问排行

Copyright © 2012-2014 恰考网 Inc. 保留所有权利。 Powered by tikuer.com

页面耗时0.0273秒, 内存占用1.05 MB, Cache:redis,访问数据库19次