某公司从银行获得贷款2亿元,期限为3年,贷款年利率为6.5%,约定每年付息一次,到期一次性还本。假设筹资费用率为0.5%,公司所得税税率为25%,则该公司...

作者: tihaiku 人气: - 评论: 0
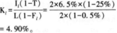
问题 某公司从银行获得贷款2亿元,期限为3年,贷款年利率为6.5%,约定每年付息一次,到期一次性还本。假设筹资费用率为0.5%,公司所得税税率为25%,则该公司该笔贷款的资本成本率是( )。
选项 A.4.90% B.5.65% C.6.50% D.9.00%
答案 A
解析 本题考查长期借款资本成本率的测算。

相关内容:公司,银行,贷款,2亿元,期限,年利率,约定,到期,假设,费用率,所得税,税率

猜你喜欢

发表评论
更多 网友评论0 条评论)
暂无评论

访问排行

Copyright © 2012-2014 恰考网 Inc. 保留所有权利。 Powered by tikuer.com

页面耗时0.0336秒, 内存占用1.04 MB, Cache:redis,访问数据库19次