个别资本成本率的高低取决于( )。A.筹资费用 B.用资费用 C.资金额 D.个别资本所占比重 E.资本结构

作者: tihaiku 人气: - 评论: 0
问题 个别资本成本率的高低取决于( )。
选项 A.筹资费用 B.用资费用 C.资金额 D.个别资本所占比重 E.资本结构
答案 ABC
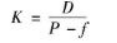
解析 此题考查个别资本成本率的影响因素。个别资本成本率的一般公式为: 式中,K为资本成本率;D为用资费用额;P为筹资额,f为筹资费用额。从公式中可以看出别资本成本率高低取决于筹资费用(A选项)、用资费用(B选项)和筹资额(C选项)三个因素。D选项个别资本所占比重、E选项资本结构是综合资本成本率的影响因素。

相关内容:资本,成本率,高低,取决于,费用,用资,资金额,比重,资本结构

猜你喜欢

发表评论
更多 网友评论0 条评论)
暂无评论

访问排行

Copyright © 2012-2014 恰考网 Inc. 保留所有权利。 Powered by tikuer.com

页面耗时0.0395秒, 内存占用1.05 MB, Cache:redis,访问数据库19次