共用题干 某服装厂年销售净额400万元,息税前利润为100万元,固定成本为60万元,变动成本总额为240万元,资产总额为300万元,负债资本比率为0.4...

作者: tihaiku 人气: - 评论: 0
问题 共用题干 某服装厂年销售净额400万元,息税前利润为100万元,固定成本为60万元,变动成本总额为240万元,资产总额为300万元,负债资本比率为0.4,综合债务利率为12%,公司的所得税税率为25%。预计3年后,公司的资产总额达到1200万元,负债率会提高到0.6。根据以上资料,回答下列问题:
选项 若企业需新增贷款600万元,期限3年,贷款年利率为11%,每年付息,筹资费用率为0.3%,则该笔借款的资本成本率为()。 A:7.63% B:7.95% C:8.27% D:8.54%
答案 C
解析 财务风险是指与企业筹资相关的风险。影响财务风险的主要因素有资本供求关系的变化、利润率水平的变动、获利能力的变化、资本结构的变化等。
资本成本是评价投资项目,比较投资方案和进行投资决策的经济标准一个投资项目,只有当其投资收益率高于资本成本率时,在经济上才是合理的。
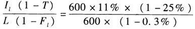
长期借款的资本成本率Kl==8.27%。式中,Kl表示长期借款资本成本率;Il表示长期借款年利息额;L表示长期借款筹资额,即借款本金;Fl表示长期借款筹资费用率,即借款手续费率;T表示企业所得税率。
资本成本是企业筹资和使用资本而承付的代价。从投资者的角度看,资本成本是投资者要求的必要报酬或最低报酬。

相关内容:题干,服装厂,销售,净额,400万元,利润,100万元,成本,60万元,变动,总额,240万元,资产,300万元,负债,资本,比率,0.4...

猜你喜欢

发表评论
更多 网友评论0 条评论)
暂无评论

访问排行

Copyright © 2012-2014 恰考网 Inc. 保留所有权利。 Powered by tikuer.com

页面耗时0.0391秒, 内存占用1.05 MB, Cache:redis,访问数据库19次