甲企业与某研究所签订合同,委托该研究所对一项技术进行评估。经过评估,该技术开发中的物质消耗为300万元,人力消耗为400万元,技术复杂系数为1.6 ,研究...

作者: tihaiku 人气: - 评论: 0
问题 甲企业与某研究所签订合同,委托该研究所对一项技术进行评估。经过评估,该技术开发中的物质消耗为300万元,人力消耗为400万元,技术复杂系数为1.6 ,研究开发的风险概率为60% ,经评估后,甲企业决定立项开发该技术,并从各个部门抽调10人组建新的部门负责攻关。3年后,技术开发成功。甲企业于2017年3月15日向国家专利部门提交了发明专利申请, 2018年6月20日国家知识产权局授予甲企业该项技术发明专利权。 若采用技术价值评估的成本模型计算,该项技术的价格为( )。
选项 A.2800 B.4800 C.1867 D.6400
答案 A
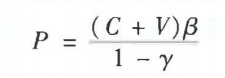
解析 成本模型的基本出发点是:成本是价格的基本决定因素。该模型的公式为: 式中 :P 为技术商品的价格;C 为技术开发中的物质消耗;V 为技术开发中投入的人力消 耗 ;β 为技术复杂系数(β> 1);γ 为研究开发的风险概率(失败概率) 故由题干得出:

相关内容:企业,研究,委托,研究所,技术,评估,技术开发,物质,消耗,300万元,人力,400万元,系数

猜你喜欢

发表评论
更多 网友评论0 条评论)
暂无评论

访问排行

Copyright © 2012-2014 恰考网 Inc. 保留所有权利。 Powered by tikuer.com

页面耗时0.0281秒, 内存占用1.05 MB, Cache:redis,访问数据库18次