有一个边长为2a的正三角形,将其各边中点相连得到第二个三角形,那么连接到第四次时,得到的三角形的面积为( )。

作者: rantiku 人气: - 评论: 0
问题 有一个边长为2a的正三角形,将其各边中点相连得到第二个三角形,那么连接到第四次时,得到的三角形的面积为( )。
选项
答案 B
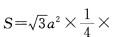
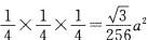
解析 已知该正三角形的边长为2a,则面积为;由于连接一次中点所得的三角形面积是原来三角形面积的,因此,连接到第四次时所得到的三角形面积,B项正确。

猜你喜欢

发表评论
更多 网友评论0 条评论)
暂无评论

访问排行

Copyright © 2012-2014 恰考网 Inc. 保留所有权利。 Powered by tikuer.com

页面耗时0.0356秒, 内存占用1.03 MB, Cache:redis,访问数据库20次