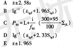
若正常人血铅含量近似对数正态分布,拟用300名正常人血铅值确定95%正常值范围,最好采用的公式是:

作者: tihaiku 人气: - 评论: 0
问题 若正常人血铅含量近似对数正态分布,拟用300名正常人血铅值确定95%正常值范围,最好采用的公式是:
选项
答案 D
解析

相关内容:含量,对数,正态分布,300名,铅值,正常值,范围,最好,公式

猜你喜欢

发表评论
更多 网友评论0 条评论)
暂无评论

访问排行

Copyright © 2012-2014 恰考网 Inc. 保留所有权利。 Powered by tikuer.com

页面耗时0.0297秒, 内存占用1.05 MB, Cache:redis,访问数据库19次