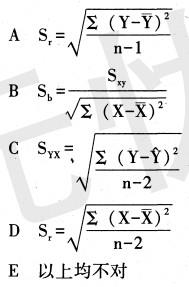
直线回归分析中,X的影响被扣除后,Y方面的变异可用下列哪项指标表示

作者: tihaiku 人气: - 评论: 0
问题 直线回归分析中,X的影响被扣除后,Y方面的变异可用下列哪项指标表示
选项
答案 C
解析

相关内容:直线,分析,影响,方面的,变异,指标

猜你喜欢

发表评论
更多 网友评论0 条评论)
暂无评论

访问排行

Copyright © 2012-2014 恰考网 Inc. 保留所有权利。 Powered by tikuer.com

页面耗时0.0352秒, 内存占用1.04 MB, Cache:redis,访问数据库18次