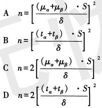
样本均数与总体均数比较或配对比较的样本含量计算公式为 E.以上都不对

作者: tihaiku 人气: - 评论: 0
问题 样本均数与总体均数比较或配对比较的样本含量计算公式为 E.以上都不对
选项
答案 A
解析

相关内容:样本,总体,含量,公式

猜你喜欢

发表评论
更多 网友评论0 条评论)
暂无评论

Copyright © 2012-2014 恰考网 Inc. 保留所有权利。 Powered by tikuer.com

页面耗时0.0287秒, 内存占用1.04 MB, Cache:redis,访问数据库17次