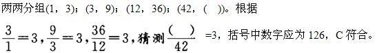
1,3,3,9,12,36,42,( )。A.56 B.84 C.126 D.160

作者: tihaiku 人气: - 评论: 0
问题 1,3,3,9,12,36,42,( )。
选项 A.56 B.84 C.126 D.160
答案 C
解析

相关内容:

猜你喜欢

发表评论
更多 网友评论0 条评论)
暂无评论

访问排行

Copyright © 2012-2014 恰考网 Inc. 保留所有权利。 Powered by tikuer.com

页面耗时0.0538秒, 内存占用1.04 MB, Cache:redis,访问数据库17次