2013年上半年,电子信息产业完成固定资产投资额为多少亿元?( ) A.5288 B.5135 C.4978 D.4730

作者: tihaiku 人气: - 评论: 0
问题
选项 2013年上半年,电子信息产业完成固定资产投资额为多少亿元?( ) A.5288 B.5135 C.4978 D.4730
答案 D
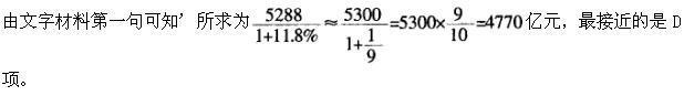
解析

猜你喜欢

发表评论
更多 网友评论0 条评论)
暂无评论

Copyright © 2012-2014 恰考网 Inc. 保留所有权利。 Powered by tikuer.com

页面耗时0.0317秒, 内存占用1.03 MB, Cache:redis,访问数据库17次