方程y'=f(x)y的通解是:

作者: rantiku 人气: - 评论: 0
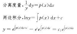
问题 方程y'=f(x)y的通解是:
选项
答案 D
解析 提示 方程y'=f(x)y为一阶可分离变量方程。

猜你喜欢

发表评论
更多 网友评论0 条评论)
暂无评论

Copyright © 2012-2014 恰考网 Inc. 保留所有权利。 Powered by tikuer.com

页面耗时0.0288秒, 内存占用1.01 MB, Cache:redis,访问数据库19次