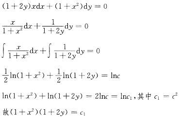
微分方程(1+2y)xdx+(1+x2)dy的通解为:(c为任意常数)

作者: rantiku 人气: - 评论: 0
问题 微分方程(1+2y)xdx+(1+x2)dy的通解为:(c为任意常数)
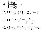
选项
答案 B
解析 提示 方程为一阶可分离变量方程,分离变量后求解。

猜你喜欢

发表评论
更多 网友评论0 条评论)
暂无评论

Copyright © 2012-2014 恰考网 Inc. 保留所有权利。 Powered by tikuer.com

页面耗时0.0351秒, 内存占用1.03 MB, Cache:redis,访问数据库20次