袋中有5个大小相同的球,其中3个是白球,2个是红球,一次随机地取出3个球,其中恰有2个是白球的概率是:

作者: rantiku 人气: - 评论: 0
问题 袋中有5个大小相同的球,其中3个是白球,2个是红球,一次随机地取出3个球,其中恰有2个是白球的概率是:
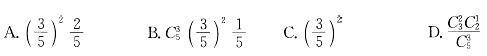
选项
答案 D
解析
发表评论
更多 网友评论0 条评论)
暂无评论

Copyright © 2012-2014 恰考网 Inc. 保留所有权利。 Powered by tikuer.com

页面耗时0.0370秒, 内存占用1.01 MB, Cache:redis,访问数据库19次