A. a1=(1

作者: rantiku 人气: - 评论: 0
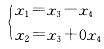
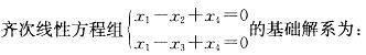
问题
选项 A. a1=(1
答案 C
解析 提示:对方程组的系数矩阵进行初等行变换,得到方程组的同解方程组 当x3=1,x4=0 时,得x1=1,x2=1;当x3=0,x4=1时,得x1=-1,x2=0,写成基础解系ξ1,ξ2。

猜你喜欢

发表评论
更多 网友评论0 条评论)
暂无评论

Copyright © 2012-2014 恰考网 Inc. 保留所有权利。 Powered by tikuer.com

页面耗时0.0338秒, 内存占用1.01 MB, Cache:redis,访问数据库17次