设总体X的概率分布为: 其中θ(0A.1/4 B.1/2 C.2 D.0

作者: rantiku 人气: - 评论: 0
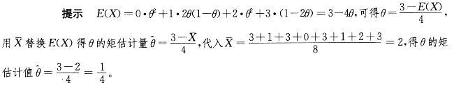
问题 设总体X的概率分布为: 其中θ(0
选项 A.1/4 B.1/2 C.2 D.0
答案 A
解析

猜你喜欢

发表评论
更多 网友评论0 条评论)
暂无评论

Copyright © 2012-2014 恰考网 Inc. 保留所有权利。 Powered by tikuer.com

页面耗时0.0358秒, 内存占用1.01 MB, Cache:redis,访问数据库19次