设A是3阶矩阵,P=(a1,a2,a3)是3阶可逆矩阵,且P-1AP=

作者: rantiku 人气: - 评论: 0
问题 设A是3阶矩阵,P=(a1,a2,a3)是3阶可逆矩阵,且P-1
选项 AP=
答案 B
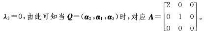
解析 提示 当P-1AP=Λ时,P=(a1,a2,a3)中a1,a2,a3的排列满足对应关系,a1对应λ1,a2对应λ2,a3对应λ3,可知a1对应特征值λ1=1,a2对应特征值λ2=2,a3对应特征值

猜你喜欢

发表评论
更多 网友评论0 条评论)
暂无评论

Copyright © 2012-2014 恰考网 Inc. 保留所有权利。 Powered by tikuer.com

页面耗时0.0632秒, 内存占用1.01 MB, Cache:redis,访问数据库19次