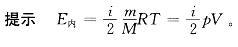
压强为p、体积为V的氢气(视为刚性分子理想气体)的内能为:

作者: rantiku 人气: - 评论: 0
问题 压强为p、体积为V的氢气(视为刚性分子理想气体)的内能为:
选项
答案 A
解析

猜你喜欢

发表评论
更多 网友评论0 条评论)
暂无评论

Copyright © 2012-2014 恰考网 Inc. 保留所有权利。 Powered by tikuer.com

页面耗时0.0417秒, 内存占用1.01 MB, Cache:redis,访问数据库20次