以双缝干涉实验中,波长为λ的单色平行光垂直入射到缝间距为a的双缝上,屏到双缝的距离为D,则某一条明纹与其相邻的一条暗纹的间距为:

作者: rantiku 人气: - 评论: 0
问题 以双缝干涉实验中,波长为λ的单色平行光垂直入射到缝间距为a的双缝上,屏到双缝的距离为D,则某一条明纹与其相邻的一条暗纹的间距为:
选项
答案 B
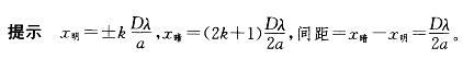
解析

猜你喜欢

发表评论
更多 网友评论0 条评论)
暂无评论

Copyright © 2012-2014 恰考网 Inc. 保留所有权利。 Powered by tikuer.com

页面耗时0.0341秒, 内存占用1.03 MB, Cache:redis,访问数据库18次