—声波波源相对媒质不动,发出的声波频率是v0,设一观察者的运动速度为波速的1/2,当观察者迎着波源运动时,他接收到的声波频率是:A. 2v0 B.(1...

作者: rantiku 人气: - 评论: 0
问题 —声波波源相对媒质不动,发出的声波频率是v0,设一观察者的运动速度为波速的1/2,当观察者迎着波源运动时,他接收到的声波频率是:
选项 A. 2v0 B.(1/2)v0 C.v0 D.3v0/2
答案 D
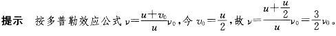
解析

猜你喜欢

发表评论
更多 网友评论0 条评论)
暂无评论

Copyright © 2012-2014 恰考网 Inc. 保留所有权利。 Powered by tikuer.com

页面耗时0.0449秒, 内存占用1.03 MB, Cache:redis,访问数据库19次