两偏振片叠放在一起,欲使一束垂直入射的线偏振光经过两个偏振片后振动方向转过90,且使出射光强尽可能大,则入射光的振动方向与前后两偏振片的偏振化方向夹角分别...

作者: rantiku 人气: - 评论: 0
问题 两偏振片叠放在一起,欲使一束垂直入射的线偏振光经过两个偏振片后振动方向转过90,且使出射光强尽可能大,则入射光的振动方向与前后两偏振片的偏振化方向夹角分别为:
选项 A. 45和90 B. 0 和90 C. 30 和90 D. 60 和90
答案 A
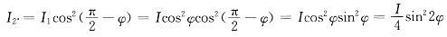
解析 提示 设线偏振光的光强为I,线偏振光与第一个偏振片的夹角为φ。因为最终线偏振光的振动方向要转过90,所以第一个偏振片与第二个偏振片的夹角为π/2-φ。 根据马吕斯定律 线偏振光通过第一块偏振片后的光强为 I1=Icos2φ 线偏振光通过第二块偏振片后的光强为 要使透射光强达到最强,令sin2φ= 1,得φ=π/4,透射光强的最大值为I/4。 入射光的振动方向与前后两偏振片的偏振化方向夹角分别为45和90。

猜你喜欢

发表评论
更多 网友评论0 条评论)
暂无评论

Copyright © 2012-2014 恰考网 Inc. 保留所有权利。 Powered by tikuer.com

页面耗时0.0351秒, 内存占用1.03 MB, Cache:redis,访问数据库19次