—定量的理想气体在进行卡诺循环时,高温热源温度为500k,低温热源温度为400k,则该循环的效率为:A. 56% B. 34% C. 80% ...

作者: rantiku 人气: - 评论: 0
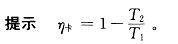
问题 —定量的理想气体在进行卡诺循环时,高温热源温度为500k,低温热源温度为400k,则该循环的效率为:
选项 A. 56% B. 34% C. 80% D. 20%
答案 D
解析

猜你喜欢

发表评论
更多 网友评论0 条评论)
暂无评论

Copyright © 2012-2014 恰考网 Inc. 保留所有权利。 Powered by tikuer.com

页面耗时0.0412秒, 内存占用1.03 MB, Cache:redis,访问数据库20次