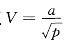
如果一定量理想气体的体积V和压强p依照的规律变化,式中a为常量,当气体从V1膨胀到V2时,温度T1和T2的关系为:A. T1>T2 B. T1=T2 ...

作者: rantiku 人气: - 评论: 0
问题 如果一定量理想气体的体积V和压强p依照的规律变化,式中a为常量,当气体从V1膨胀到V2时,温度T1和T2的关系为:
选项 A. T1>T2 B. T1=T2 C. T12 D.无法确定
答案 A
解析

猜你喜欢

发表评论
更多 网友评论0 条评论)
暂无评论

Copyright © 2012-2014 恰考网 Inc. 保留所有权利。 Powered by tikuer.com

页面耗时0.0494秒, 内存占用1.03 MB, Cache:redis,访问数据库19次