—定量的理想气体,经过等体过程,温度增量△T,内能变化△E1,吸收热量Q1;若经过等压过程,温度增量也为△T,内能变化△E2,吸收热量Q2,则一定是:A....

作者: rantiku 人气: - 评论: 0
问题 —定量的理想气体,经过等体过程,温度增量△T,内能变化△E1,吸收热量Q1;若经过等压过程,温度增量也为△T,内能变化△E2,吸收热量Q2,则一定是:
选项 A.△E2=△E1,Q2>Q1 B.△E2=△E1,Q21 C.△E2>△E1,Q2>Q1 D.△E21,Q21
答案 A
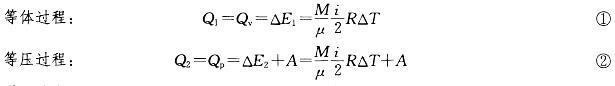
解析 对于给定的理想气体,内能的增量只与系统的起始和终了状态有关,与系统所经历的过程 无关,△E1=△E2。 比较式①和式②,注意到A>0,显然Q2>Q1。

猜你喜欢

发表评论
更多 网友评论0 条评论)
暂无评论

Copyright © 2012-2014 恰考网 Inc. 保留所有权利。 Powered by tikuer.com

页面耗时0.0275秒, 内存占用1.03 MB, Cache:redis,访问数据库19次