两重物的质量均为m,分别系在两软绳上。此两绳又分别绕在半径各为r与2r并固结在一起的两轮上。两圆轮构成之鼓轮的质量亦为m,对轴O的回转半径为ρO。两重物中...

作者: rantiku 人气: - 评论: 0
问题 两重物的质量均为m,分别系在两软绳上。此两绳又分别绕在半径各为r与2r并固结在一起的两轮上。两圆轮构成之鼓轮的质量亦为m,对轴O的回转半径为ρO。两重物中一铅垂悬挂,一置于光滑平面上。当系统在左重物重力作用下运动时,鼓轮的角加速度α为:
选项
答案 A
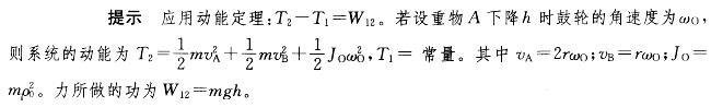
解析

猜你喜欢

发表评论
更多 网友评论0 条评论)
暂无评论

Copyright © 2012-2014 恰考网 Inc. 保留所有权利。 Powered by tikuer.com

页面耗时0.0540秒, 内存占用1.03 MB, Cache:redis,访问数据库19次