在yoz正交坐标系中,设图形对y、z轴的惯性矩分别为Iy和Iz,则图形对坐标原点极惯性矩为:

作者: rantiku 人气: - 评论: 0
问题 在yoz正交坐标系中,设图形对y、z轴的惯性矩分别为Iy和Iz,则图形对坐标原点极惯性矩为:
选项
答案 B
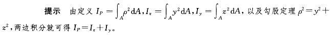
解析

猜你喜欢

发表评论
更多 网友评论0 条评论)
暂无评论

Copyright © 2012-2014 恰考网 Inc. 保留所有权利。 Powered by tikuer.com

页面耗时0.0411秒, 内存占用1.03 MB, Cache:redis,访问数据库20次