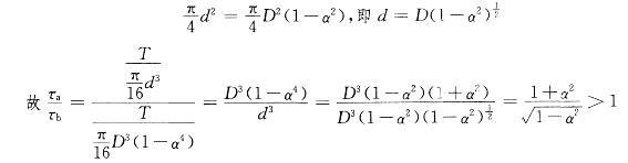
图示两根圆轴,横载面面积相同但分别为实心圆和空心圆。在相同的扭矩T作用下,两轴最大切应力的关系是:A. τab B. τa=τb C. τa>τb...

作者: rantiku 人气: - 评论: 0
问题 图示两根圆轴,横载面面积相同但分别为实心圆和空心圆。在相同的扭矩T作用下,两轴最大切应力的关系是:
选项 A. τab B. τa=τb C. τa>τb D.不能确定 {图}
答案 C
解析 提示 设实心圆直径为山空心圆外径为D,空心圆内外径之比为a,因两者横截面积相同,故有
发表评论
更多 网友评论0 条评论)
暂无评论

Copyright © 2012-2014 恰考网 Inc. 保留所有权利。 Powered by tikuer.com

页面耗时0.0372秒, 内存占用1.01 MB, Cache:redis,访问数据库18次