螺钉受力如图所示,一直螺钉和钢板的材料相同,拉伸许用应力[σ]是剪切许用应力[τ]的2倍,即[σ] = 2[τ],钢板厚度t是螺钉头高度h的1. 5倍,则...

作者: rantiku 人气: - 评论: 0
问题 螺钉受力如图所示,一直螺钉和钢板的材料相同,拉伸许用应力[σ]是剪切许用应力[τ]的2倍,即[σ] = 2[τ],钢板厚度t是螺钉头高度h的1. 5倍,则螺钉直径d的合理值为:
选项 A.d=2h B.d=0.5h C.d2 = 2Dt D.d2=2Dt {图}
答案 A
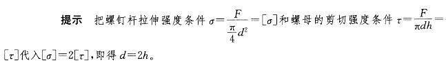
解析

猜你喜欢

发表评论
更多 网友评论0 条评论)
暂无评论

Copyright © 2012-2014 恰考网 Inc. 保留所有权利。 Powered by tikuer.com

页面耗时0.0384秒, 内存占用1.03 MB, Cache:redis,访问数据库20次