图示平面构架,不计各杆自重。已知:物块M重FP,悬挂如图示,不计小滑轮D的尺寸与质量,A、E、C均为光滑铰链,L1=1. 5m,L2=2m。则支座B的约束...

作者: rantiku 人气: - 评论: 0
问题 图示平面构架,不计各杆自重。已知:物块M重FP,悬挂如图示,不计小滑轮D的尺寸与质量,A、E、C均为光滑铰链,L1=1. 5m,L2=2m。则支座B的约束力为:
选项 A.FB=3FP/4(→) B.FB=FP(←) C.FB=FP(←) D.FB=0 {图}
答案 A
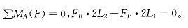
解析 提示 取构架整体为研究对象,列平衡方程:

猜你喜欢

发表评论
更多 网友评论0 条评论)
暂无评论

Copyright © 2012-2014 恰考网 Inc. 保留所有权利。 Powered by tikuer.com

页面耗时0.0415秒, 内存占用1.03 MB, Cache:redis,访问数据库19次