作者: rantiku 人气: - 评论: 0
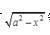
问题
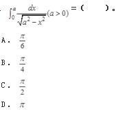
选项
答案 C
解析 当被积分式含有 等形式时,采用第二类换元法,令x=asint,可消去根号,即 属于无界函数的反常积分,从而有
  • 上一篇:
  • 下一篇:

相关内容:

猜你喜欢

发表评论
更多 网友评论0 条评论)
暂无评论

Copyright © 2012-2014 恰考网 Inc. 保留所有权利。 Powered by tikuer.com

页面耗时0.0459秒, 内存占用1.01 MB, Cache:redis,访问数据库20次