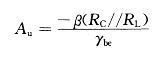
图示单管放大电路中,设晶体工作于线性区,此时,该电路的电压放大倍数为:

作者: rantiku 人气: - 评论: 0
问题 图示单管放大电路中,设晶体工作于线性区,此时,该电路的电压放大倍数为:
选项
答案 C
解析 提示 该电路为固定偏置放在电路,放大倍数

猜你喜欢

发表评论
更多 网友评论0 条评论)
暂无评论

Copyright © 2012-2014 恰考网 Inc. 保留所有权利。 Powered by tikuer.com

页面耗时0.0507秒, 内存占用1.03 MB, Cache:redis,访问数据库20次