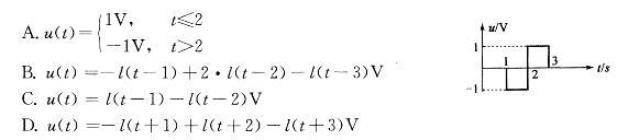
图示非周期信号u(t)的时域描述形式是:(注:1(t)是单位阶跃函数)

作者: rantiku 人气: - 评论: 0
问题 图示非周期信号u(t)的时域描述形式是:(注:1(t)是单位阶跃函数)
选项
答案 B
解析 提示 信号可以用函数来描述,此信号波形是伴有延时阶跃信号的叠加构成。

猜你喜欢

发表评论
更多 网友评论0 条评论)
暂无评论

Copyright © 2012-2014 恰考网 Inc. 保留所有权利。 Powered by tikuer.com

页面耗时0.0590秒, 内存占用1.01 MB, Cache:redis,访问数据库19次