将双曲线C: 绕x轴旋转一周所生成的旋转曲面的方程是(  )。{图1}

作者: rantiku 人气: - 评论: 0
问题 将双曲线C: 绕x轴旋转一周所生成的旋转曲面的方程是(  )。
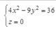
选项 {图1}
答案 B
解析 已知旋转曲面的母线C的方程为 旋转轴为x轴,则只需将母线方程中的y换为

猜你喜欢

发表评论
更多 网友评论0 条评论)
暂无评论

Copyright © 2012-2014 恰考网 Inc. 保留所有权利。 Powered by tikuer.com

页面耗时0.0404秒, 内存占用1.03 MB, Cache:redis,访问数据库20次