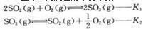
已知下列反应的平衡常数: 则K1与K2的关系为(  )。{图1}

作者: rantiku 人气: - 评论: 0
问题 已知下列反应的平衡常数: 则K1与K2的关系为(  )。
选项 {图1}
答案 A
解析 同一反应平衡常数表达式随方程式的不同而变;如果某反应可表示为若干个反应的总和,则该反应的平衡常数是各反应的平衡常数值乘积。根据平衡常数定义

猜你喜欢

发表评论
更多 网友评论0 条评论)
暂无评论

Copyright © 2012-2014 恰考网 Inc. 保留所有权利。 Powered by tikuer.com

页面耗时0.0332秒, 内存占用1.01 MB, Cache:redis,访问数据库18次