均质杆O{图}

作者: rantiku 人气: - 评论: 0
问题 均质杆O
选项 {图}
答案 B
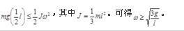
解析 运动过程中只有重力做功,根据动能定理得

猜你喜欢

发表评论
更多 网友评论0 条评论)
暂无评论

Copyright © 2012-2014 恰考网 Inc. 保留所有权利。 Powered by tikuer.com

页面耗时0.0306秒, 内存占用1.01 MB, Cache:redis,访问数据库19次