圆截面细长压杆的材料和杆端约束保持不变,若将其直径缩小一半,则压杆的临界压力为原压杆的:A. 1/2 B. 1/4 C. 1/8 D. 1/16

作者: rantiku 人气: - 评论: 0
问题 圆截面细长压杆的材料和杆端约束保持不变,若将其直径缩小一半,则压杆的临界压力为原压杆的:
选项 A. 1/2 B. 1/4 C. 1/8 D. 1/16
答案 D
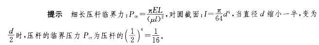
解析

猜你喜欢

发表评论
更多 网友评论0 条评论)
暂无评论

Copyright © 2012-2014 恰考网 Inc. 保留所有权利。 Powered by tikuer.com

页面耗时0.0400秒, 内存占用1.03 MB, Cache:redis,访问数据库19次