管道长度不变,管中流动为层流,允许的水头损失不变,当直径变为原来2倍时,若不计局部损失,流量将变为原来的多少倍?A.2 B.4 C.8 D. 16

作者: rantiku 人气: - 评论: 0
问题 管道长度不变,管中流动为层流,允许的水头损失不变,当直径变为原来2倍时,若不计局部损失,流量将变为原来的多少倍?
选项 A.2 B.4 C.8 D. 16
答案 D
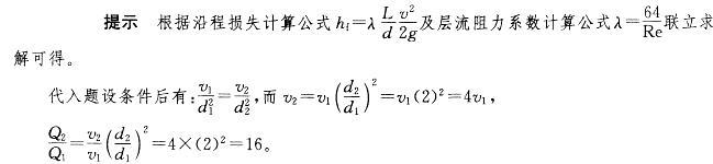
解析

猜你喜欢

发表评论
更多 网友评论0 条评论)
暂无评论

Copyright © 2012-2014 恰考网 Inc. 保留所有权利。 Powered by tikuer.com

页面耗时0.0324秒, 内存占用1.03 MB, Cache:redis,访问数据库20次