单位阶跃信号ε(t)是物理量单位跃变现象,而单位冲激信号ε(t)是物理量产生单位跃变(  )的现象。A.速度 B.幅度 C.加速度 D.高度

作者: rantiku 人气: - 评论: 0
问题 单位阶跃信号ε(t)是物理量单位跃变现象,而单位冲激信号ε(t)是物理量产生单位跃变(  )的现象。
选项 A.速度 B.幅度 C.加速度 D.高度
答案 A
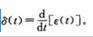
解析 单位冲激信号的积分为单位阶跃信号;反过来,单位阶跃信号的导数为单位冲激信号。单位冲激函数和单位阶跃信号的关系为

猜你喜欢

发表评论
更多 网友评论0 条评论)
暂无评论

Copyright © 2012-2014 恰考网 Inc. 保留所有权利。 Powered by tikuer.com

页面耗时0.0317秒, 内存占用1.03 MB, Cache:redis,访问数据库18次