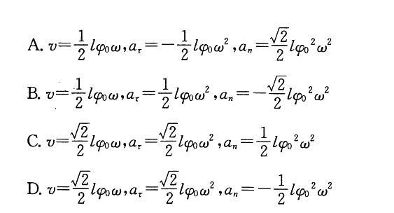
速度、切向加速度与法向加速度分别为:

作者: rantiku 人气: - 评论: 0
问题 速度、切向加速度与法向加速度分别为:
选项
答案 C
解析 根据定轴转动刚体的转动方程、角速度、角加速度以及刚体上一点的速度、加速度公式。 答案:C
  • 上一篇:
  • 下一篇:

猜你喜欢

发表评论
更多 网友评论0 条评论)
暂无评论

Copyright © 2012-2014 恰考网 Inc. 保留所有权利。 Powered by tikuer.com

页面耗时0.0407秒, 内存占用1.01 MB, Cache:redis,访问数据库19次