过点M(3,-2,1)且与直线L :平行的直线方程是:

作者: rantiku 人气: - 评论: 0
问题 过点M(3,-2,1)且与直线L :平行的直线方程是:
选项
答案 D
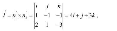
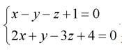
解析 直线L是平面χ - y- z +1 = 0和平面2χ+ y - 3z + 4 = 0的交线,直线L的方向向量

猜你喜欢

发表评论
更多 网友评论0 条评论)
暂无评论

Copyright © 2012-2014 恰考网 Inc. 保留所有权利。 Powered by tikuer.com

页面耗时0.0282秒, 内存占用1.01 MB, Cache:redis,访问数据库18次