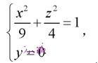
将椭圆绕χ轴旋转一周所生成的旋转曲面的方程是:

作者: rantiku 人气: - 评论: 0
问题 将椭圆绕χ轴旋转一周所生成的旋转曲面的方程是:
选项
答案 C
解析

猜你喜欢

发表评论
更多 网友评论0 条评论)
暂无评论

Copyright © 2012-2014 恰考网 Inc. 保留所有权利。 Powered by tikuer.com

页面耗时0.0279秒, 内存占用1.01 MB, Cache:redis,访问数据库17次