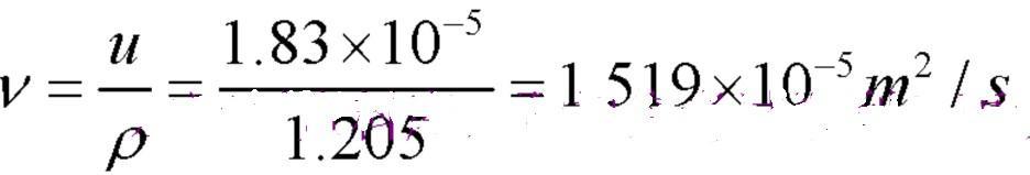
已知空气的密度P为1.205kg/m3,动力粘度(动力粘滞系数)μ为1.83x10-5 Pa.s,那么它的运动粘度(运动粘滞系数)v为:

作者: rantiku 人气: - 评论: 0
问题 已知空气的密度P为1.205kg/m3,动力粘度(动力粘滞系数)μ为1.83x10-5 Pa.s,那么它的运动粘度(运动粘滞系数)v为:
选项
答案 D
解析 运动粘度

猜你喜欢

发表评论
更多 网友评论0 条评论)
暂无评论

Copyright © 2012-2014 恰考网 Inc. 保留所有权利。 Powered by tikuer.com

页面耗时0.0351秒, 内存占用1.03 MB, Cache:redis,访问数据库19次