图示凸轮机构,凸轮以等角速度ω绕通过O点且垂直于图示平面的轴转动,从而推动杆AB运动。已知偏心圆弧凸轮的偏心距OC=e,凸轮的半径为r,动系固结在凸轮上,...

作者: rantiku 人气: - 评论: 0
问题 图示凸轮机构,凸轮以等角速度ω绕通过O点且垂直于图示平面的轴转动,从而推动杆AB运动。已知偏心圆弧凸轮的偏心距OC=e,凸轮的半径为r,动系固结在凸轮上,静系固结在地球上,则在图示位置()杆AB上的
选项 {图}
答案 C
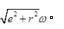
解析 当机构旋转到图示位置时,A点距旋转中线O的距离为 因此A点牵连速度的大小等于

猜你喜欢

发表评论
更多 网友评论0 条评论)
暂无评论

Copyright © 2012-2014 恰考网 Inc. 保留所有权利。 Powered by tikuer.com

页面耗时0.0409秒, 内存占用1.03 MB, Cache:redis,访问数据库20次