如图所示为一个用四个相同铆钉连接的接头,已知拉杆与铆钉的材料相同。材料的许用剪应力为[τ],许用挤压应力为[σbs],则其剪切强度条件和挤压强度条件是( ...

作者: rantiku 人气: - 评论: 0
问题 如图所示为一个用四个相同铆钉连接的接头,已知拉杆与铆钉的材料相同。材料的许用剪应力为[τ],许用挤压应力为[σbs],则其剪切强度条件和挤压强度条件是(  )。
选项 {图1}
答案 C
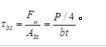
解析 每个铆钉承担的作用力为P/4,每个铆钉的剪切面均为直径为d的圆,则由剪应力公式 挤压面面积为dt,则由挤压强度公式

猜你喜欢

发表评论
更多 网友评论0 条评论)
暂无评论

Copyright © 2012-2014 恰考网 Inc. 保留所有权利。 Powered by tikuer.com

页面耗时0.0436秒, 内存占用1.03 MB, Cache:redis,访问数据库20次